[Etusivu] [Sisältö] [Luku I II III IV V VI] [Hakemisto]
[Ylempi pääsivu] [Edellinen sivu] [Seuraava sivu]


Reaalifunktio

Reaalifunktioiksi sanotaan kaikkia sellaisia kuvauksia , missä sekä lähtöjoukko että maalijoukko ovat reaalilukujoukkoja. Yleensä maalijoukkona on koko reaalilukujen joukko eli ja usein myös määrittelyjoukkona on koko reaalilukujen joukko eli .

Esimerkki 1.5.1.

Funktio , jolle , on reaalifunktio, jonka määrittely on rajattu rationaaliluvuille. Huomaa, että funktion lausekkeen antamat tulokset ovat rationaalilukuja, joten maalijoukkona voi olla rationaalilukujen joukko .

Edellä olevan lausekkeen arvo voidaan muodostaa myös kaikille reaaliluvuille, mutta silloin määrittelyjoukon lisäksi maalijoukkoakin on laajennettava, ilmeisestikin välttämättä koko reaalilukujen joukoksi. Saatu funktio , jolle , on periaatteessa eri funktio kuin .

 

Reaalifunktio ilmaistaan usein kuitenkin pelkällä lausekkeella ilmoittamatta ollenkaan sen lähtö- ja maalijoukkoja. Silloin määrittelyjoukoksi ajatellaan laajin reaalilukujoukko, jossa lausekkeen arvo voidaan muodostaa.

Esimerkki 1.5.2.

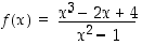
Funktion

 

määrittelyssä oleva lauseke voidaan muodostaa kaikilla luvuilla , joilla nimittäjä ei ole nolla. Tässä tapauksessa määrittelyjoukko on siis

 

 

Esimerkki 1.5.3.

Määritellään funktio lausekkeella . Kyseessä on yhdistetty funktio , missä sisäfunktio on ja ulkofunktio on . Kumpikin on määritelty silloin, kun .

Yhdistetty funktio on siten määritelty niissä pisteissä , joissa funktio on määritelty ja joille . Näin ollen se on määritelty, kun ja . Jälkimmäinen ehto on yhtäpitävää ehdon kanssa (kun lisäksi ). Siten on määritelty, kun , eli .

 

Reaalifunktiolle luku (piste) on sen nollakohta tai juuri, jos . Edellä olevan esimerkin 1.5.3 funktiolla

 

on ainakin yksi (osoittajan) nollakohta, piste . Sen osoittamiseen, että muita nollakohtia ei ole, tarvitaan myöhemmin käsiteltäviä menetelmiä (mm. funktion monotonisuuden selvittämistä).


[Ylempi pääsivu] [Edellinen sivu] [Seuraava sivu]

[Lähetä palautetta]