Sisätulon ja normin ominaisuuksia

Sisätulolla ja normilla on mm. seuraavia laskulakeja ja ominaisuuksia.

Lause 5.3.

Avaruuden vektoreille , ja sekä reaaliluvulle pätevät seuraavat säännöt.

(S1)

(S2)

     

(S3)

     

(N1)    ja   

(N2)

(N3)       Kolmioepäyhtälö

(N4) Jos , niin       Pythagoras´n lause

(SN1)

(SN2)       CBS-epäyhtälö  (CBS = Cauchy, Bunjakowski & Schwarz)

Todistus. Käydään läpi tässä vain kohdat (S2), (SN2), (N3) ja (N4) - tässä järjestyksessä. Muut kohdat ovat helppoja tai selväpiirteisiä todentaa.

(S2) Todistetaan ensimmäinen yhtälö suoraviivaisesti laskien:

 

Toinen yhtälö todistetaan vastaavasti.

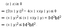
(SN2) Olkoon ja tarkastellaan apuvektoria . Silloin

 

Tässä viimeisen epäyhtälön vasen puoli on muuttujan suhteen toisen asteen polynomi. Tällaisella, muotoa olevalla lausekkeella on nollakohta vain, jos sen diskriminantti on positiivinen tai nolla. Koska yllä saadussa lausekkeessa neliön kerroin on ei-negatiivinen, on koko lauseke näin ollen ei-negatiivinen täsmälleen silloin, kun sen diskriminantti ei ole positiivinen. Siten edellä oleva on edelleen yhtäpitävää seuraavan kanssa:

 

Näin saadusta yhtäpitävyydestä näkyy, että epäyhtälö pitää aina paikkansa, kuten väitettiin.

(N3) Todistetaan väite suoraviivaisesti laskien ja jo todistettua kohtaa (SN2) hyväksi käyttäen:

 

(N4) Edellisen kohdan todistuksesta näkyy, että oletuksen eli ehdon jälkeen

,

kuten väitettiin.

 

Esimerkki 5.4.

Osoitetaan oikeaksi kolmioita koskeva ns. kosinilause. Muodostakoot sitä varten vektorit ja kolmion vierekkäiset sivut sekä olkoon näiden välinen kulma. Tällöin muodostaa kolmannen sivun. Sen pituuden neliölle saadaan

 

Merkitsemällä kolmion sivujen pituuksia luvuilla , ja saadaan tämä ehkä yleisemmin tunnettuun kosinilauseen muotoon:

.

 

Avaruuden vektoreille ja niiden kärkipisteiden etäisyyttä eli lukua

 

sanotaan myös itse vektoreiden ja etäisyydeksi.

Opiskelutehtävä 13

Sievennä lauseke , kun tiedetään, että .

Vinkki tehtävään 13