[Etusivu]
[Sisältö]
[Luku
I
II
III
IV
V
VI]
[Hakemisto]
[Ylempi pääsivu]
[Edellinen sivu]
[Seuraava sivu]
Lukujono on järjestetty ja päättymätön luettelo reaalilukuja. Jos luvut on indeksoitu
,
,
,
..., lukujonoa merkitään
. Indeksointi voidaan ykkösen sijasta aloittaa mistä kokonaisluvusta tahansa. Jos se aloitetaan nollasta, on jono
itse asiassa kuvaus
,
missä
. Jos esimerkiksi
Jonon alkupään arvot
on kuvassa 21 sijoitettu kohtaan
(
).
Laskentapohja: Lukujono 
Seuraavassa on eräitä nimityksiä lukujonoille. Lukujono
on
• kasvava (tai nouseva), jos
aina, ts. jos
,
• vähenevä (tai laskeva), jos
aina, ts. jos
,
• monotoninen, jos se on kasvava tai vähenevä,
• aidosti kasvava, vähenevä tai monotoninen, jos edellä olevissa ehdoissa on kaikkialla aidot epäsuuruudet,
• ylhäältä rajoitettu,
jos on olemassa sellainen reaaliluku
,
että
aina,
• alhaalta rajoitettu,
jos on olemassa sellainen reaaliluku
,
että
aina,
• rajoitettu, jos se on sekä ylhäältä että alhaalta rajoitettu.
Jono
on aidosti kasvava, sillä perättäisten termien erotus on
Tämä jono on alhaalta rajoitettu (alarajana esimerkiksi luku
), mutta se ei ole ylhäältä rajoitettu.
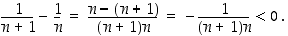
Jono
(
) on aidosti vähenevä, sillä
Se on myös rajoitettu, sillä selvästi
.