[Etusivu] [Sisältö] [Luku I II III IV V VI] [Hakemisto]
[Ylempi pääsivu] [Edellinen sivu] [Seuraava sivu]


Tehtävän 14 ratkaisu

Funktion jatkuvuus on muuten ilmeistä (molemmat lausekkeet ovat polynomifunktioina kaikkialla jatkuvia), mutta paloittain määrittelyn rajakohta täytyy tutkia erikseen. Funktio on määritelty kun ja .

Selvitetään jatkuvuus kyseisessä kohdassa tutkimalla siinä funktion toispuoleisia raja-arvoja:

 

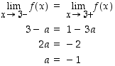
Jotta funktiolla olisi raja-arvo kohdassa , toispuoleisten raja-arvojen tulee olla samat. Siten saadaan ehto:

 

Tällöin

 

ja on siis jatkuva myös kohdassa . Näin ollen funktio on kaikkialla jatkuva, kun .

[Opiskelutehtävä 14] [Vinkki tehtävään 14]


[Ylempi pääsivu] [Edellinen sivu] [Seuraava sivu]

[Lähetä palautetta]