[Ylemmälle pääsivulle] [Edellinen sivu] [Seuraava sivu]


Ratkaisu tehtävään 10.13

a ) Ratkaise funktioiden ja kuvaajien asymptootit, kun

.

Rationaalifunktion osoittajan asteluku on pienempi kuin nimittäjän asteluku, joten funktion kuvaajalla on asymptootit, suora eli -akseli, sillä funktion raja-arvo, kun on nolla sekä -akselin suuntaiset suorat, jotka saadaan nimittäjän nollakohdista .

 

-akselin suuntaiset suorat:

 

Funktion kuvaajalla on asymptootit ja .

 

Rationaalifunktion osoittajan asteluku on yhtäsuuri kuin nimittäjän asteluku, joten funktion kuvaajalla on asymptoottina -akselin suuntainen suora , missä sekä -akselin suuntaiset suorat, jotka saadaan nimittäjän nollakohdista (samat kuin edellisellä funktiolla )..

 

-akselin suuntaiset suorat:

 

 

-akselin suuntainen suora

 

Funktion kuvaajalla on asymptootit ja

b ) Piirretään funktion

 

kuvaaja.

 

Kuvaajan piirtämistä varten määritetään funktion kuvaajan asymptootit. Rationaalifunktion osoittajan asteluku on kahta suurempi kuin nimittäjän asteluku, joten funktion kuvaajalla on asymptootit, joista toinen - -akselin suuntainen suora - saadaan nimittäjän nollakohdasta ja toinen - toista astetta oleva käyrä, paraabeli - saadaan suorittamalla jakolasku ja jättämällä jäännöstermi huomiotta.

 

-akselin suuntainen suora:

 

Muotoa oleva käyrä eli paraabeli:

 

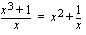
Funktion lauseke voidaan jakolaskun perusteella kirjoittaa muodossa:

 

Kun , niin jäännöstermi lähestyy nollaa, jolloin funktion kuvaaja lähestyy paraabelia , mikä on funktion kuvaajan asymptootti.

Funktion kuvaajalla on asymptootit ja .

 

Funktion kuvaajan piirtämiseksi täytyy selvittää funktion vähenevyys/kasvavuus sekä ääriarvopisteet.

Funktion derivaatta on

 

Ratkaistaan derivaatan nollakohdat eli funktion ääriarvokohdat.

 

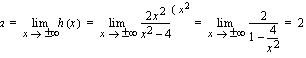
Lasketaan funktion ääriarvo.

 

Muodostetaan derivaatan merkkikaavio funktion kasvavuuden/vähenevyyden tutkimiseksi ja ääriarvon laadun määrittämiseksi.

Funktio on aidosti vähenevä, kun ja . Funktio on aidosti kasvava, kun . Funktiolla on lokaali minimi kohdassa .

Rationaalifunktion kuvaaja voidaan nyt piirtää asymptoottien ja funktion käyttäytymisestä selvitettyjen tietojen avulla.

 

 

[Tehtävä 10.13][Vinkki tehtävään 10.13]


[Ylemmälle pääsivulle] [Edellinen sivu] [Seuraava sivu]