[Ylemmälle pääsivulle] [Edellinen sivu] [Seuraava sivu]


Ratkaisu tehtävään 1.3

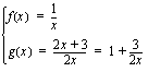
a ) Yhdistetyn funktion

 

toteuttavat ainakin seuraavat funktiot ja :

b ) Sisäfunktioksi soveltuva funktio löydetään, kun muodostetaan yhtälö, jossa tuntematon on funktio . Tunnetut ovat ulkofunktio ja yhdistetty funktio .

 

 

Muodostetaan yhtälö ja ratkaistaan sisäfunktio.

 

Kerrotaan yhtälön molemmat puolet :llä.

 

Jaetaan yhtälön molemmat puolet :llä.

 

Korotetaan yhtälö puolittain toiseen, jolloin saadaan tuntemattoman funktion lauseke.

 

[Tehtävä 1.3][Vinkki tehtävään 1.3]


[Ylemmälle pääsivulle] [Edellinen sivu] [Seuraava sivu]