[Ylemmälle pääsivulle] [Edellinen sivu] [Seuraava sivu]


Ratkaisu tehtävään 9.1

a ) Funktion raja-arvoa ei suoraan pysty laskemaan, sillä nimittäjä lähestyy nollaa, kun lähestyy nollaa. Funktion lauseketta täytyy sieventää supistamalla murtolauseke muuttujalla .

 

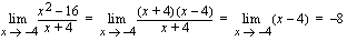
b ) Funktio ei ole määritelty, kun . Kun , sekä osoittaja että nimittäjä lähestyvät nollaa. Tämä viittaa siihen, että funktion lauseketta voidaan sieventää supistamalla. Jaetaan funktion osoittaja tekijöihinsä summan ja erotuksen tulon avulla, jonka jälkeen murtolauseketta voidaan supistaa lausekkeella .

 

c ) Funktion raja-arvo voidaan nyt laskea suoraan sijoittamalla, koska nimittäjä ei lähesty nollaa.

 

[Tehtävä 9.1][Vinkki tehtävään 9.1]


[Ylemmälle pääsivulle] [Edellinen sivu] [Seuraava sivu]