[Ylemmälle pääsivulle] [Edellinen sivu] [Seuraava sivu]


Ratkaisu tehtävään 1.3

a ) Funktion ja sen käänteisfunktion välisen yhteyden avulla tiedetään seuraavaa

 

Kysytty saadaan siis sijoittamalla funktion lausekkeeseen käänteisfunktion saama arvo , jolloin funktion arvo tällä muuttujan arvolla on

 

Käänteisfunktio saa siis arvon 2 muuttujan arvolla .

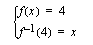
b ) Funktion ja sen käänteisfunktion välisen yhteyden avulla tiedetään seuraavaa

 

Kysytty käänteisfunktion arvo muuttujan arvolla 4 saadaan siis ratkaisemalla yhtälö .

 

Vähennetään molemmilta puolilta yhtälöä 3.

 

Jaetaan yhtälön molemmat puolet 2:lla.

 

Käänteisfunktio saa siis muuttujan arvolla arvon

 

c ) Kuvaaja

d ) Funktio on aidosti kasvava , joten sillä on olemassa käänteisfunktio . Määritetään käänteisfunktion lauseke ratkaisemalla yhtälöstä .

 

Vaihdetaan muuttujaksi ja merkitään

.

Käänteisfunktion määrittelyjoukko on

[Tehtävä 1.3][Vinkki tehtävään 1.3]


[Ylemmälle pääsivulle] [Edellinen sivu] [Seuraava sivu]