[Ylemmälle pääsivulle] [Edellinen sivu] [Seuraava sivu]


Ratkaisu tehtävään 12.8

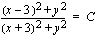
Osoita, että käyrät

 

, kun vakio C kuuluu välille tai ovat ympyröitä. Mitkä käyrät saadaan, kun ja ?

Kerrotaan käyrien yhtälö vasemman puolen nimittäjällä ja siirretään kaikki muuttujan tai sisältävät termit yhtälön vasemmalle puolelle sekä vakiot yhtälön oikealle puolelle (etumerkit vaihtuvat).

 

Muokataan yhtälöä siten, että se on ympyrän keskipistemuodossa . Otetaan yhteiset tekijät , , ja ja jaetaan yhtälö puolittain ja yhteisellä tekijällä.

 

Yhtälön vasemmalle puolelle täytyy saada binomin neliö , joten yhtälön molemmille puolille tulee lisätä termi

 

Muokataan yhtälön oikeaa puolta siten, että saadaan säteen neliölauseke.

 

Käyrien yhtälö voidaan nyt kirjoittaa muodossa

 

Kysessä on ympyrä, jonka keskipiste on ja säde .

Jos :

 

Yhtälö on pisteen yhtälö.

Jos : Sijoitetaan yhtälöön .

 

ja muuttuja voi saada mitä tahansa arvoja, jolloin kyseessä on -akseli.

[Tehtävä 12.8][Vinkki tehtävään 12.8]


[Ylemmälle pääsivulle] [Edellinen sivu] [Seuraava sivu]