[Ylemmälle pääsivulle] [Edellinen sivu] [Seuraava sivu]


Ratkaisu tehtävään 10.2

Ratkaistaan funktioiden derivaatat:

 

Derivoimissääntöjen avulla saadaan seuraaville funktioille derivaatat laskematta uusien funktioiden lausekkeita. (Vertaa OT 10.2.)

a ) Summan derivoimissäännön avulla:

 

b ) Tulon derivoimissäännön avulla:

 

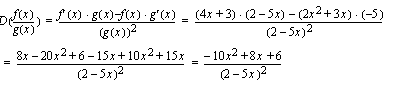
c ) Osamäärän derivoimissäännön avulla:

 

d ) Yhdistetyn funktion derivoimissäännön avulla:

 

e ) Yhdistetyn funktion derivoimissäännön avulla:

 

f ) Yhdistetyn funktion derivoimissäännön avulla:

 

[Tehtävä 10.2][Vinkki tehtävään 10.2]


[Ylemmälle pääsivulle] [Edellinen sivu] [Seuraava sivu]