[Ylemmälle pääsivulle] [Edellinen sivu] [Seuraava sivu]


Ratkaisu tehtävään 4.4

Määritetään edellisen tehtävän funktion nollakohdat ratkaisemalla yhtälö .

Kun funktio on paloittain määritelty, löydetään nollakohdat helposti. Funktiolla on nollakohta ainoastaan välillä , jolloin funktio on ensimmäisen asteen polynomi. Muualla funktio on vakiofunktio, eikä sillä ole nollakohtia. Ratkaistaan yhtälö funktion nollakohtien löytämiseksi.

 

Lisätään yhtälön molemmille puolille

 

Jaetaan yhtälön molemmat puolet muuttujan kertoimella .

 

Saatu ratkaisu kuuluu määrittelyväliin , joten se käy ratkaisuksi. Funktiolla on siis yksi nollakohtia .

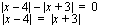
Nollakohdat voidaan ratkaista myös suoraan asettamalla .

Saadaan yhtälö.

 

Itseisarvon määritelmän avulla saadaan yhtälö muotoon.

 

Tarkastellaan tilanteet erikseen:

 

 

Vähentämällä molemmilta puolilta yhtälöä huomataan, että yhtälö on identtisesti epätosi , joten sillä ei ole ratkaisua.

 

 

Lisätään yhtälön molemmille puolille ´ ja sievennetään.

 

Jaetaan yhtälön molemmat puolet muuttujan kertoimella , jolloin saadaan sama ratkaisu kuin edellä.

 

[Tehtävä 4.4][Vinkki tehtävään 4.4]


[Ylemmälle pääsivulle] [Edellinen sivu] [Seuraava sivu]