[Ylemmälle pääsivulle] [Edellinen sivu] [Seuraava sivu]


Ratkaisu tehtävään 2.1

Ilmoita polynomifunktio tekijöidensä tulona.

Ratkaistaan kolmannen asteen polynomin nollakohdat, jotta se voidaan jakaa tekijöihinsä.

 

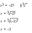
Vähennetään yhtälön molemmilta puolilta ja jaetaan yhtälön molemmat puolet termin kertoimella .

 

Otetaan kuutiojuuri puolittain, jolloin päästään eroon vasemman puolen kuutiosta.

 

Polynomilla on nollakohta , joten eräs sen tekijä on . Muut nollakohdat saadaan, kun jaetaan polynomi tekijällään jakokulmassa ja ratkaistaan saadun toisen asteen polynomin nollakohdat.

Polynomi voidaan nyt kirjoittaa muodossa . Lasketaan toisen tekijän nollakohdat toisen asteen yhtälön ratkaisukaavan avulla.

 

Diskriminantti , joten ei reaalisia ratkaisuja.

Funktion tekijät ovat ja , joten funktio voidan kirjoittaa tekijöidensä avulla seuraavasti:

 

[Tehtävä 2.1][Vinkki tehtävään 2.1]


[Ylemmälle pääsivulle] [Edellinen sivu] [Seuraava sivu]