[Ylemmälle pääsivulle] [Edellinen sivu] [Seuraava sivu]


Ratkaisu tehtävään 0.6

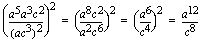
Vaiheittain potensseja laskemalla saadaan sievennettyä lauseke.

[Tehtävä 0.6][Vinkki tehtävään 0.6]


[Ylemmälle pääsivulle] [Edellinen sivu] [Seuraava sivu]