[edellinen] [sisällys] [seuraava]


1.4. Rationaalilausekkeet

Rationaalifunktiota käsittelemme myös enemmän kurssin toisessa modulissa, mutta sitä ennen on hyvä selvittää, mikä on rationaalilauseke, ja harjoitella rationaalilausekkeiden laskutoimituksia. Aloita jälleen lukemalla rationaalilausekkeita käsittelevä luku kurssimonisteesta. Harjoittele sen jälkeen niiden laskutoimituksia oheisen oppimistehtävän avulla. Jos asia on entuudestaan hyvässä muistissa, voit siirtyä suoraan harjoituksiin.

 
Oppimistehtävä 1.7.

(a) Supista rationaalilauseke

 

yksinkertaisimpaan muotoonsa.

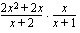
(b) Laske

.

Muista, että rationaalilausekkeilla laskeminen tapahtuu samalla tavoin kuin murtoluvuilla laskeminen, kokonaislukujen tilalla on vain polynomeja.

(c) Laske kertolasku

.

Vihje: koska lopuksi tulos on supistettava yksinkertaisimpaan muotoonsa, kannattaa osoittajat ja nimittäjät jakaa tekijöihin heti aluksi (mikäli mahdollista), jotta mahdollinen yhteinen tekijä, jolla voi supistaa, löytyy heti.

(d) Laske jakolasku

.
Tarkista ratkaisusi sivulta 30.
 

[edellinen] [sisällys] [seuraava]